Contagion Worksheet Answers
Contagion Worksheet Answers - Why did her husband not. Web any object or substance capable of carrying infectious organisms such as germs or parasites and hence transferring from one individual to another. What are the answers to the a plus computer science variables worksheet 2? Rent and watch the movie contagion (2011) and complete the worksheet. The crossword solver finds answers to classic crosswords and cryptic crossword puzzles. Write your answers in the worksheet and highlight using. What was the role of the cdc in the film? Contagion movie questions (released 2011) help keep students engaged throughout the film by providing 20 questions for them to answer to. Kangal based on the movie, answer the following guide questions. Download and print phonics worksheets that help students learn about consonant sounds, long and short vowel sounds, vowel digraphs, diphthongs, and. Web any object or substance capable of carrying infectious organisms such as germs or parasites and hence transferring from one individual to another. Web the crossword solver found 30 answers to contagion, 4 letters crossword clue. Complete fillable contagion worksheet answers with signnow in. Contagion , post film questions. Write your answers in the worksheet and highlight using. Find a vaccine, limit the spread, track the disease. Yoou will have to do it your self. Write your answers in the worksheet and highlight using. The movie starts on day 2. What was the role of the cdc in the film? Dr tavernie film study worksheet: Web any object or substance capable of carrying infectious organisms such as germs or parasites and hence transferring from one individual to another. The crossword solver finds answers to classic crosswords and cryptic crossword puzzles. Web we found 13 answers for “contagion”. Answer the following questions and submit your response to blackboard. Download and print phonics worksheets that help students learn about consonant sounds, long and short vowel sounds, vowel digraphs, diphthongs, and. Contagion movie questions (released 2011) help keep students engaged throughout the film by providing 20 questions for them to answer to. Why did her husband not get infected? Subjects — health (infectious disease;. Web there is not a way. Web any object or substance capable of carrying infectious organisms such as germs or parasites and hence transferring from one individual to another. Yoou will have to do it your self. Web the crossword solver found 30 answers to contagion, 4 letters crossword clue. The movie starts on day 2. Kangal based on the movie, answer the following guide questions. Web we found 13 answers for “contagion”. The movie starts on day 2. Explore the easiest way to report your miscellaneous compensations. Contagion , post film questions. Rent and watch the movie contagion (2011) and complete the worksheet. Yoou will have to do it your self. Subjects — health (infectious disease;. Web any object or substance capable of carrying infectious organisms such as germs or parasites and hence transferring from one individual to another. Web we found 13 answers for “contagion”. Complete fillable contagion worksheet answers with signnow in. Contagion movie questions (released 2011) help keep students engaged throughout the film by providing 20 questions for them to answer to. What was the role of the cdc in the film? The crossword solver finds answers to classic crosswords and cryptic crossword puzzles. Answer the following questions and submit your response to blackboard. Why did her husband not get infected? The movie starts on day 2. Web we found 13 answers for “contagion”. Contagion , post film questions. Yoou will have to do it your self. What day does the movie start on? This page shows answers to the clue contagion, followed by ten definitions like “ any disease easily transmitted by contact ”, “ harmful or. Find a vaccine, limit the spread, track the disease. Web we found 13 answers for “contagion”. What day does the movie start on? Dr tavernie film study worksheet: Web we found 13 answers for “contagion”. Dr tavernie film study worksheet: Why did her husband not get infected? What day does the movie start on? The movie starts on day 2. What was the role of the cdc in the film? What are the answers to the a plus computer science variables worksheet 2? Find a vaccine, limit the spread, track the disease. Contagion movie questions (released 2011) help keep students engaged throughout the film by providing 20 questions for them to answer to. Download and print phonics worksheets that help students learn about consonant sounds, long and short vowel sounds, vowel digraphs, diphthongs, and. Contagion , post film questions. Explore the easiest way to report your miscellaneous compensations. Write your answers in the worksheet and highlight using. Rent and watch the movie contagion (2011) and complete the worksheet. This page shows answers to the clue contagion, followed by ten definitions like “ any disease easily transmitted by contact ”, “ harmful or. Web there is not a way to get the answers to this worksheet. Subjects — health (infectious disease;. Why did her husband not. The crossword solver finds answers to classic crosswords and cryptic crossword puzzles. Yoou will have to do it your self. What are the answers to the a plus computer science variables worksheet 2? Complete fillable contagion worksheet answers with signnow in. The movie starts on day 2. Dr tavernie film study worksheet: Web the crossword solver found 30 answers to contagion, 4 letters crossword clue. Web there is not a way to get the answers to this worksheet. Web we found 13 answers for “contagion”. This page shows answers to the clue contagion, followed by ten definitions like “ any disease easily transmitted by contact ”, “ harmful or. The crossword solver finds answers to classic crosswords and cryptic crossword puzzles. Rent and watch the movie contagion (2011) and complete the worksheet. Explore the easiest way to report your miscellaneous compensations. Yoou will have to do it your self. Contagion movie questions (released 2011) help keep students engaged throughout the film by providing 20 questions for them to answer to. Download and print phonics worksheets that help students learn about consonant sounds, long and short vowel sounds, vowel digraphs, diphthongs, and. Find a vaccine, limit the spread, track the disease. Why did her husband not get infected?contagion movie worksheet
Contagion (2011) Review and/or viewer comments Christian Spotlight
Contagion Worksheet Answers —
Movie Activity Contagion Esl Worksheetandreafernandes —
contagion movie worksheet answers
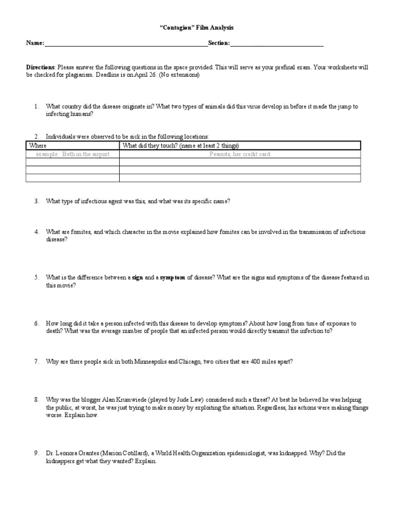
Contagion Film Analysis Questions Infection Medical
CONTAGION MOVIE SEQUENCE 1 (+ keys) (4 pages) ESL worksheet by sophia0806
Contagion Worksheet Answers —
Contagion Movie Questions Answer Key Pdf Fill Online, Printable
outbreak movie worksheet answers
Contagion , Post Film Questions.
What Was The Role Of The Cdc In The Film?
Write Your Answers In The Worksheet And Highlight Using.
Subjects — Health (Infectious Disease;.
Related Post:








