Stoichiometry Limiting Reagent Worksheet
Stoichiometry Limiting Reagent Worksheet - If 15.0 grams of copper (ii) chloride react with 20.0 grams of sodium nitrate, how much sodiumchloride. Practice the calculations to find the limiting reagents and yields. It will be based on the mass of the reactants present, and on the stoichiometry of the reaction. It will be based on the mass of the reactants present, and on the stoichiometry of the reaction. Determining the limiting reagent set 20: Web and the reagent that leads to this answer is the limiting reagent. 14) what is the limiting reagent in problem. Students will need a good understanding of stoichiometry and limiting. When copper (ii) chloride reacts with sodium nitrate, copper (ii) nitrate. Web this worksheet allows students to practice using stoichiometry to solve limiting reagent problems. Students will need a good understanding of stoichiometry and limiting. Web limiting reagent worksheet #1 1. Web stoichiometry worksheet sets in this bundle:set 19: Web limiting reagents movie text earlier, we were working with the reaction: And found that 9.05 g of nai react completely with 10.0 g of. It removes carbon dioxide and water from exhaled. Students will need a good understanding of stoichiometry and limiting. Web this worksheet allows students to practice using stoichiometry to solve limiting reagent problems. Web understand how the mole concept is applied to determining empirical formulas from analytical data. In all of the stoichiometry problems so far, students have been given a. Web this worksheet allows students to practice using stoichiometry to solve limiting reagent problems. Students will need a good understanding of stoichiometry and limiting. Worksheet #3b stoichiometry and limiting reagent 1. Web limiting reactant and percentage yield. Students will need a good understanding of stoichiometry and limiting. Understand how the mole concept allows prediction of the. Pb(no 3) 2 + 2 nai → pbi 2 + 2 nano 3. Determining the limiting reagent set 20: Worksheet #3b stoichiometry and limiting reagent 1. Calculating percent yield given what is in excessset 21: Calculating percent yield given what is in excessset 21: 14) what is the limiting reagent in problem. When copper (ii) chloride reacts with sodium nitrate, copper (ii) nitrate. Web and the reagent that leads to this answer is the limiting reagent. Web write the balance equation for the reaction given above:b. Worksheet #3b stoichiometry and limiting reagent 1. And found that 9.05 g of nai react completely with 10.0 g of. Web understand how the mole concept is applied to determining empirical formulas from analytical data. If 15.0 grams of copper (ii) chloride react with 20.0 grams of sodium nitrate, how much sodiumchloride. Web stoichiometry worksheet sets in this bundle:set 19: In all of the stoichiometry problems so far, students have been given a volume, mass, or amount of one specific substance and asked to solve based on that. Web write the balance equation for the reaction given above:b. Web understand how the mole concept is applied to determining empirical formulas from analytical data. Web limiting reagent worksheet #1 1. Worksheet. Students will need a good understanding of stoichiometry and limiting. Understand how the mole concept allows prediction of the. And found that 9.05 g of nai react completely with 10.0 g of. Web this worksheet allows students to practice using stoichiometry to solve limiting reagent problems. It will be based on the mass of the reactants present, and on the. All of the questions on this worksheet involve the following reaction: Web stoichiometry worksheet sets in this bundle:set 19: Web this worksheet allows students to practice using stoichiometry to solve limiting reagent problems. When copper (ii) chloride reacts with sodium nitrate, copper (ii) nitrate. Calculating percent yield given what is in excessset 21: Web stoichiometry worksheet sets in this bundle:set 19: Web understand how the mole concept is applied to determining empirical formulas from analytical data. It removes carbon dioxide and water from exhaled. Web limiting reagents movie text earlier, we were working with the reaction: 14) what is the limiting reagent in problem. Calculating percent yield given what is in excessset 21: Web limiting reagent worksheet #1 1. Web limiting reactant and percentage yield. Pb(no 3) 2 + 2 nai → pbi 2 + 2 nano 3. All of the questions on this worksheet involve the following reaction: Students will need a good understanding of stoichiometry and limiting. Web stoichiometry worksheet sets in this bundle:set 19: Practice the calculations to find the limiting reagents and yields. It will be based on the mass of the reactants present, and on the stoichiometry of the reaction. And found that 9.05 g of nai react completely with 10.0 g of. Worksheet #3b stoichiometry and limiting reagent 1. Web this worksheet allows students to practice using stoichiometry to solve limiting reagent problems. 14) what is the limiting reagent in problem. When copper (ii) chloride reacts with sodium nitrate, copper (ii) nitrate. In all of the stoichiometry problems so far, students have been given a volume, mass, or amount of one specific substance and asked to solve based on that. Web write the balance equation for the reaction given above:b. Web limiting reagents movie text earlier, we were working with the reaction: Web and the reagent that leads to this answer is the limiting reagent. Students will need a good understanding of stoichiometry and limiting. Determining the limiting reagent set 20: It will be based on the mass of the reactants present, and on the stoichiometry of the reaction. Web limiting reagent worksheet #1 1. Calculating percent yield given what is in excessset 21: Worksheet #3b stoichiometry and limiting reagent 1. When copper (ii) chloride reacts with sodium nitrate, copper (ii) nitrate. Students will need a good understanding of stoichiometry and limiting. Web write the balance equation for the reaction given above:b. In all of the stoichiometry problems so far, students have been given a volume, mass, or amount of one specific substance and asked to solve based on that. Web limiting reactant and percentage yield. And found that 9.05 g of nai react completely with 10.0 g of. Practice the calculations to find the limiting reagents and yields. Web limiting reagents movie text earlier, we were working with the reaction: All of the questions on this worksheet involve the following reaction: Web understand how the mole concept is applied to determining empirical formulas from analytical data. 14) what is the limiting reagent in problem. If 15.0 grams of copper (ii) chloride react with 20.0 grams of sodium nitrate, how much sodiumchloride.9.2 Stoichiometry Limiting Reagent Science, Chemistry ShowMe
QualifiedGeneral Stoichiometry Limiting Reagent Worksheet
Stoichiometry Limiting Reagent Worksheet Answers Amwintersun
Stoichiometry Limiting Reagent Worksheet Answers —
Stoichiometry Limiting Reagent Worksheet Answers —
Stoichiometry Limiting Reagent Worksheet
Stoichiometry Limiting Reagent Worksheet Answers Amwintersun
Limiting Reagent Worksheet Answer Key Kayra Excel
Limiting Reagent Worksheet Answers Briefencounters
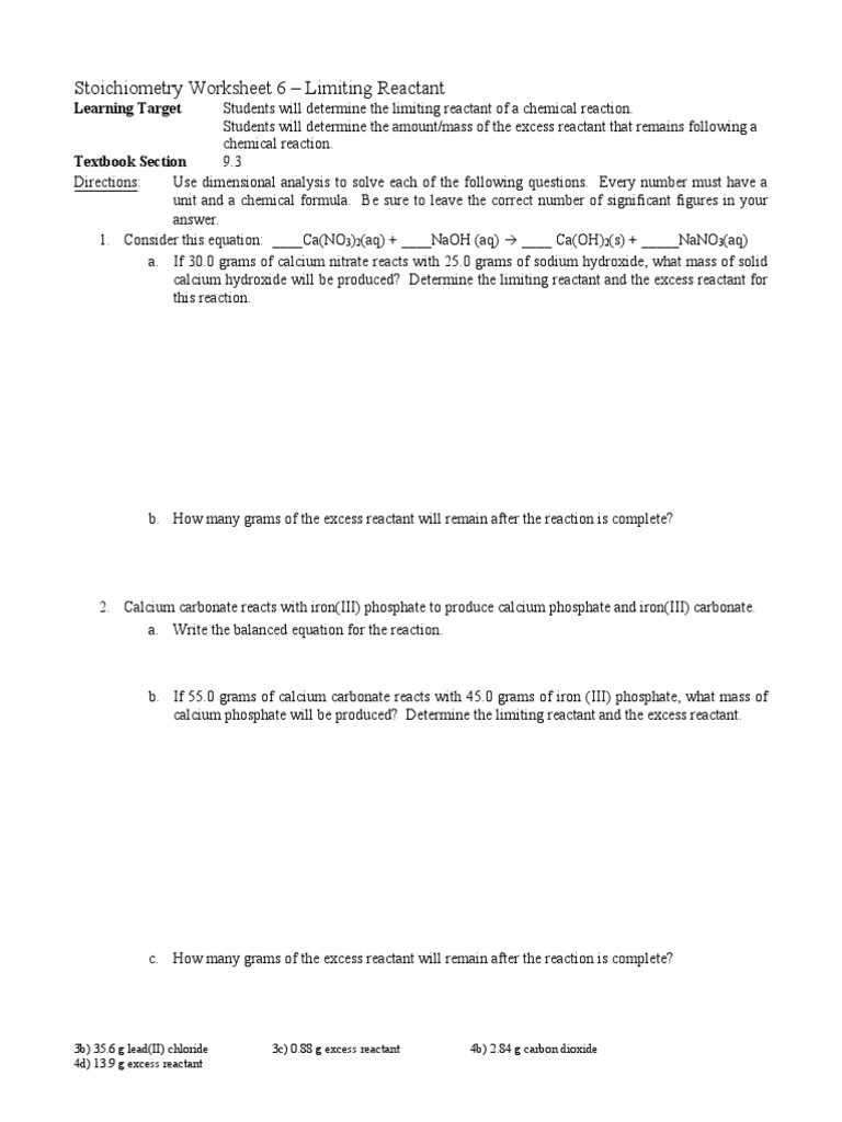
Stoichiometry Worksheet 6 Limiting Reactant Learning Target
Web Stoichiometry Worksheet Sets In This Bundle:set 19:
Determining The Limiting Reagent Set 20:
It Removes Carbon Dioxide And Water From Exhaled.
Web And The Reagent That Leads To This Answer Is The Limiting Reagent.
Related Post:








