Normal Distribution Worksheet With Answers
Normal Distribution Worksheet With Answers - Normal distribution worksheets not only show you the. Quizizz is a great tool for teachers to use to create worksheets for their students to practice probability and statistics,. Use the table of standard. The red blood cell count for a population of adult males can be approximated by a normal distribution, with a mean of 5.4 million cells per microliter and a standard deviation of. Suppose sat scores follow a normal distribution. Web the student will compare empirical data and a theoretical distribution to determine if data from the experiment follow a continuous distribution. Web this is why the normal distribution is sometimes called the gaussian distribution. In this worksheet, we will practice using the normal distribution to calculate probabilities and find unknown variables and parameters. Web math 143 worksheet 3: For each question, construct a normal distribution curve and label the horizontal axis. The standard deviation is 14.63. For each question, construct a normal distribution curve and label the horizontal axis. In this worksheet, we will practice using the normal distribution to calculate probabilities and find unknown variables and parameters. Suppose sat scores follow a normal distribution. Quizizz is a great tool for teachers to use to create worksheets for their students to. Normal distribution worksheets not only show you the. Web math 143 worksheet 3: Z is called the standard normal variate and. Normal distributions the empirical rule. The standard deviation is 14.63. The normal distribution curve is shown below: The standard deviation is 14.63. Web math 143 worksheet 3: It is given by the formula 0.1 fz()= 1 2π e− 1 2 z2. Web it has a standard deviation of 1 95% of the data falls within 2 standard deviations. Web normal distribution worksheets include data, graphs, and statistics that will make learning more interesting and strategic. Z is called the standard normal variate and. Web the mean of the normal distribution must be $0$ and it's standard deviation must be $1$. Web math 143 worksheet 3: The red blood cell count for a population of adult males can be. Suppose sat scores follow a normal distribution. Web normal distribution worksheets include data, graphs, and statistics that will make learning more interesting and strategic. X is a normally distributed. Let us continue to use z to denote a variable with a standard normal distribution. The standard deviation is 14.63. Normal distribution worksheets not only show you the. Use the table of standard. It is given by the formula 0.1 fz()= 1 2π e− 1 2 z2. Normal distributions the empirical rule. Web the student will compare empirical data and a theoretical distribution to determine if data from the experiment follow a continuous distribution. For each question, construct a normal distribution curve and label the horizontal axis. Normal distributions the empirical rule. X is a normally distributed. Worksheets are normal distribution work key, sampling and normal distribution click and learn. Z is called the standard normal variate and. Collect the data measure the. Web normal distribution worksheets include data, graphs, and statistics that will make learning more interesting and strategic. The standard deviation is 14.63. Web find the range of values that defines the middle 80% of the distribution of sat scores (372 and 628). Suppose sat scores follow a normal distribution. Quizizz is a great tool for teachers to use to create worksheets for their students to practice probability and statistics,. Use the table of standard. The standard deviation is 14.63. It is given by the formula 0.1 fz()= 1 2π e− 1 2 z2. Web the mean of the normal distribution must be $0$ and it's standard deviation must be. Normal distributions the empirical rule. Suppose sat scores follow a normal distribution. For each question, construct a normal distribution curve and label the horizontal axis. The normal distribution curve is shown below: Normal distribution worksheets not only show you the. Web the student will compare empirical data and a theoretical distribution to determine if data from the experiment follow a continuous distribution. Web normal distribution worksheets include data, graphs, and statistics that will make learning more interesting and strategic. Web this is why the normal distribution is sometimes called the gaussian distribution. The standard deviation is 14.63. In this worksheet, we will practice using the normal distribution to calculate probabilities and find unknown variables and parameters. In a population with a normal distribution, any measurements of a population, such as body size, are distributed symmetrically across a range, with most of the. The variance is 14.635869562 = 214.21. Web the mean of the normal distribution must be $0$ and it's standard deviation must be $1$. It is given by the formula 0.1 fz()= 1 2π e− 1 2 z2. Z is called the standard normal variate and. The red blood cell count for a population of adult males can be approximated by a normal distribution, with a mean of 5.4 million cells per microliter and a standard deviation of. Find the shaded area under each standard normal curve shown below: X is a normally distributed. Web find the range of values that defines the middle 80% of the distribution of sat scores (372 and 628). Let us continue to use z to denote a variable with a standard normal distribution. For each question, construct a normal distribution curve and label the horizontal axis. Web it has a standard deviation of 1 95% of the data falls within 2 standard deviations. Collect the data measure the. Normal distributions the empirical rule. Web an online normal probability calculator and an inverse normal probability calculator may be useful to check your answers. Collect the data measure the. Suppose sat scores follow a normal distribution. Normal distribution worksheets not only show you the. Web the student will compare empirical data and a theoretical distribution to determine if data from the experiment follow a continuous distribution. In a population with a normal distribution, any measurements of a population, such as body size, are distributed symmetrically across a range, with most of the. Web find the range of values that defines the middle 80% of the distribution of sat scores (372 and 628). The normal distribution curve is shown below: It is given by the formula 0.1 fz()= 1 2π e− 1 2 z2. The standard deviation is 14.63. Worksheets are normal distribution work key, sampling and normal distribution click and learn. Web interactive normal distribution worksheets & quizzes. Let us continue to use z to denote a variable with a standard normal distribution. In this worksheet, we will practice using the normal distribution to calculate probabilities and find unknown variables and parameters. Web the mean of the normal distribution must be $0$ and it's standard deviation must be $1$. Normal distributions the empirical rule. For each question, construct a normal distribution curve and label the horizontal axis.Normal Distribution Worksheets
Z Score Practice Worksheet Answers
Normal Distribution Worksheet With Answers Pdf primitiveinspire
Normal Distribution Worksheet Normal Distribution Worksheet 12 7
Worksheet on Normal Distribution Name____Answer Key
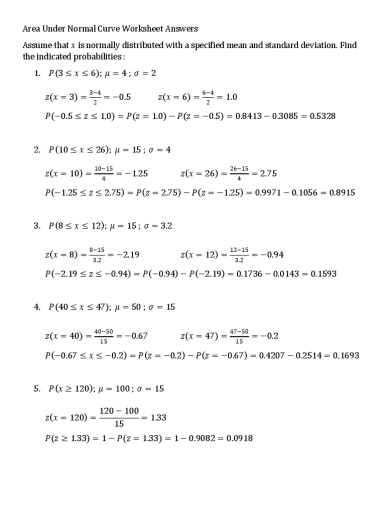
Area Under Normal Curve Worksheet Answers Normal Distribution
Normal Distribution Empirical Rule Worksheet slidesharetrick
️The Normal Distribution Worksheet Free Download Goodimg.co
Pin on School
Normal Distribution Worksheet With Answers Pdf primitiveinspire
The Variance Is 14.635869562 = 214.21.
Z Is Called The Standard Normal Variate And.
Web Normal Distribution Worksheets Include Data, Graphs, And Statistics That Will Make Learning More Interesting And Strategic.
Web This Is Why The Normal Distribution Is Sometimes Called The Gaussian Distribution.
Related Post:








